用户消息 LaTeX 渲染
INFO
注意:该功能仅在 1.3.7 及后续版本中支持。
自动将用户消息中的 LaTeX 公式渲染为数学符号。
功能介绍
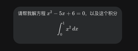
当你在 Gemini™ 的聊天输入框中使用 LaTeX 语法(如 $E=mc^2$ 或 $$\int_0^1 x^2 dx$$),Voyager 会自动检测并渲染为美观的数学公式。
主要特性
- 行内公式:使用
$...$包裹,如$x^2 + y^2 = r^2$ - 独立公式:使用
$$...$$包裹,公式独占一行显示 - 自动检测:自动处理页面上已有的和新发送的消息
- KaTeX 渲染:使用 KaTeX 引擎进行高质量数学公式渲染
使用方法
- 在 Gemini 聊天输入框中输入包含 LaTeX 语法的消息
- 发送后,公式会自动渲染为数学符号
- 行内公式
$...$与文本同行显示 - 独立公式
$$...$$会居中独占一行
语法示例
| 输入 | 说明 |
|---|---|
$E=mc^2$ | 行内公式 |
$$\sum_{i=1}^{n} i = \frac{n(n+1)}{2}$$ | 独立公式 |
$\alpha, \beta, \gamma$ | 希腊字母 |
$\sqrt{x^2 + y^2}$ | 根号 |
注意事项
提示
- 仅对用户发送的消息生效,Gemini 回复中的公式由 Gemini 自身渲染。
- 如果 LaTeX 语法有误,将显示原始文本。


Jesse Zhang